4.DFS(Depth - First Search)와 BFS(Breadth - First Search)
그래프 탐색

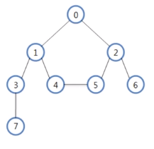
그래프를 matrix로 표현하기
- UndirectedGraph.java
public class UndirectedGraph {
private int count;
private int[][] vertexMatrix;
public UndirectedGraph(int count) {
this.count = count;
vertexMatrix = new int[count][count];
}
public void addEdges(int from, int to, int weight) {
vertexMatrix[from][to] = weight;
vertexMatrix[to][from] = weight;
}
public int[][] getMatrix(){
return vertexMatrix;
}
}
깊이 우선 탐색(DFS)
- 인접한 노드를 우선 탐색하는 방식
- 스택을 활용하여 구현할 수 있음
- DFS 탐색 순서 : 0-1-3-7-4-5-2-6 or 0-2-6-5-4-1-3-7
- DfsSearch.java
public class DfsSearch {
int count;
boolean[] visited;
Stack<Integer> stack;
int[][] matrix;
public DfsSearch(int count) {
this.count = count;
visited = new boolean[count];
stack = new Stack<Integer>();
}
public void dfsTraversal() {
stack.push(0);
visited[0] = true;
while(stack.isEmpty() == false) {
int node = stack.pop();
System.out.print( node + " ");
for(int j = 0; j<count; j++) {
if(matrix[node][j] != 0 && visited[j] == false ) {
stack.push(j);
visited[j] = true;
}
}
}
}
public static void main(String[] args) {
int count = 8;
UndirectedGraph graph = new UndirectedGraph(count);
graph.addEdges(0, 1, 1);
graph.addEdges(0, 2, 1);
graph.addEdges(1, 3, 1);
graph.addEdges(1, 4, 1);
graph.addEdges(2, 5, 1);
graph.addEdges(2, 6, 1);
graph.addEdges(4, 5, 1);
graph.addEdges(3, 7, 1);
DfsSearch dfs = new DfsSearch(count);
dfs.matrix = graph.getMatrix();
dfs.dfsTraversal();
}
}
너비 우선 탐색(BFS)
- 한 노드에 모두 인접한 노드를 탐색하는 방식
- 큐를 활용하여 구현할 수 있음
- BFS 탐색 순서 : 0-1-2-3-4-5-6-7
- BfsSearch.java
public class BfsSearch {
int count;
boolean[] visited;
ArrayList<Integer> queue;
int[][] matrix;
public BfsSearch(int count) {
this.count = count;
visited = new boolean[count];
queue = new ArrayList<Integer>();
}
public void bfsTraversal() {
queue.add(0);
visited[0] = true;
while(queue.size() != 0) {
int node = queue.remove(0);
System.out.print(node + " ");
for(int j=0; j<count; j++) {
if(matrix[node][j] !=0 && !visited[j]) {
queue.add(j);
visited[j] = true;
}
}
}
}
public static void main(String[] args) {
int count = 8;
UndirectedGraph graph = new UndirectedGraph(count);
BfsSearch bfsSearch = new BfsSearch(count);
graph.addEdges(0, 1, 1);
graph.addEdges(0, 2, 1);
graph.addEdges(1, 3, 1);
graph.addEdges(1, 4, 1);
graph.addEdges(2, 5, 1);
graph.addEdges(2, 6, 1);
graph.addEdges(4, 5, 1);
graph.addEdges(3, 7, 1);;
bfsSearch.matrix = graph.getMatrix();
bfsSearch.bfsTraversal();
}
}